6: 名無しさん 2018/11/14(水) 01:16:53.03 ID:0xTncZjO
錦織試合後インタビュー
「今日は自分のプレーができなかった。
フェデラー戦と同じで
ボールの跳ね方が予想と違ったので
打つタイミングがズレてしまった。
次の試合までに修正したい」
「今日は自分のプレーができなかった。
フェデラー戦と同じで
ボールの跳ね方が予想と違ったので
打つタイミングがズレてしまった。
次の試合までに修正したい」
27: 名無しさん 2018/11/14(水) 01:30:35.06 ID:OAPa1lNE
>>6
いや正直もう厳しそう
昨日の練習コートではうまくいってそうだったのに
いや正直もう厳しそう
昨日の練習コートではうまくいってそうだったのに
TENNIS TV http://www.tennistv.com/live
117: 名無しさん 2018/11/14(水) 03:10:30.11 ID:ZGFACrsw
>>6
スローで見直してみたが
序盤のミスはライジングを下で叩くのが多かった
思ったより跳ねない(高さor手前に来る)が多く
あとは、ボールに回転がかかってない。
しかし、途中からはありとあらゆるミスが出た。
アンダーソンも、オーバーのミスが多かった
コートとボールの組み合わせが
跳ねない+回転かからないのかな?
ライジング系の選手が不利なるな
フェデラーとか
スローで見直してみたが
序盤のミスはライジングを下で叩くのが多かった
思ったより跳ねない(高さor手前に来る)が多く
あとは、ボールに回転がかかってない。
しかし、途中からはありとあらゆるミスが出た。
アンダーソンも、オーバーのミスが多かった
コートとボールの組み合わせが
跳ねない+回転かからないのかな?
ライジング系の選手が不利なるな
フェデラーとか
118: 名無しさん 2018/11/14(水) 03:12:00.05 ID:Z5BJoh/V
>>117
跳ねる+回転かからない、だよ
跳ねる+回転かからない、だよ
17: 名無しさん 2018/11/14(水) 01:23:56.49 ID:IPS5KflW
ボールもコートの早さもほぼ変わらないパリで下村に勝てたのに、今回はボコボコにされたのがボールのせいってのは考え辛くない?
それだとパリでは下村がよっぽど手を抜いてたか超絶絶不調って話になるけど
それだとパリでは下村がよっぽど手を抜いてたか超絶絶不調って話になるけど
TENNIS TV http://www.tennistv.com/liveケビン・アンダーソン wikipedia
20: 名無しさん 2018/11/14(水) 01:26:10.82 ID:5jJwe3oR
>>17
ボールかサーフェスかわからんけどパリではいいプレーしてたチリも糞だしおじさんも全然違うし何かが違うんだろ
ボールかサーフェスかわからんけどパリではいいプレーしてたチリも糞だしおじさんも全然違うし何かが違うんだろ
25: 名無しさん 2018/11/14(水) 01:29:14.56 ID:IPS5KflW
>>20
早さとボールが同じならボールの弾みだと思うけどそれなら同じく長身のズベとチリが不調なのが分からんのよな
まぁ2人ともシーズン後半はずっと不調気味ではあるからその不調が続いてると見てもおかしくないけど
早さとボールが同じならボールの弾みだと思うけどそれなら同じく長身のズベとチリが不調なのが分からんのよな
まぁ2人ともシーズン後半はずっと不調気味ではあるからその不調が続いてると見てもおかしくないけど
32: 名無しさん 2018/11/14(水) 01:33:36.78 ID:fdqmK8Py
>>25
パリの時はズベは傷めてたけどサーフェスが難しい云々は言ってなかったしやっぱなんか違うんやろ
パリの時はズベは傷めてたけどサーフェスが難しい云々は言ってなかったしやっぱなんか違うんやろ
64: 名無しさん 2018/11/14(水) 02:11:59.14 ID:xYqjIKqP
今日の朝までは調子良かったんだってね錦織
何があったんだ
何があったんだ
67: 名無しさん 2018/11/14(水) 02:15:44.20 ID:s0i9CLqg
>>64
練習コートと結構違うのかも
練習コートと結構違うのかも
68: 名無しさん 2018/11/14(水) 02:15:54.70 ID:OAPa1lNE
>>64
やっぱo2アリーナと練習コートで感覚変わるんだろうな
おじさんがやはり正しかったか?
やっぱo2アリーナと練習コートで感覚変わるんだろうな
おじさんがやはり正しかったか?
130: 名無しさん 2018/11/14(水) 03:19:46.42 ID:ZGFACrsw
>>68
気温湿度の影響がなぜか大きいと考えれば
フェデラーのいう、練習コートと違うという表現も
納得できる。
去年までと空調が変わったり、
気温が高かったり低かったりしてないだろうか?
気温湿度の影響がなぜか大きいと考えれば
フェデラーのいう、練習コートと違うという表現も
納得できる。
去年までと空調が変わったり、
気温が高かったり低かったりしてないだろうか?
659: 名無しさん 2018/11/14(水) 00:32:33.67 ID:PY3RFPiU
錦織自身はボール云々言ってるけど、見てるほうから指摘するとしたら、打つときのポジションが明らかに変だからな
フォアのときは普段より離れすぎてるし
フォアのときは普段より離れすぎてるし
686: 名無しさん 2018/11/14(水) 00:33:39.68 ID:9ReONFL1
>>659
ポジションもタイミングも見てて分かるレベルでおかしいな
ポジションもタイミングも見てて分かるレベルでおかしいな
722: 名無しさん 2018/11/14(水) 00:35:10.66 ID:PY3RFPiU
>>686
錦織陣営今日何してたんだ?って感じだよな
錦織陣営今日何してたんだ?って感じだよな
702: 名無しさん 2018/11/14(水) 00:34:37.86 ID:oQArrxJ/
>>659
それ同意。追い付いてない訳じゃなくてズレてるよな
それ同意。追い付いてない訳じゃなくてズレてるよな
708: 名無しさん 2018/11/14(水) 00:34:44.42 ID:pLt9SMMb
>>659
ボールの跳ね方が予想通りに行かず狂ってるんやろ
ボールの跳ね方が予想通りに行かず狂ってるんやろ
731: 名無しさん 2018/11/14(水) 00:35:36.27 ID:PY3RFPiU
>>708
ああそれはあるのかも
ああそれはあるのかも
713: 名無しさん 2018/11/14(水) 00:34:57.64 ID:fdqmK8Py
>>659
ボールの跳ね方が予想と違うからそうなってしまうんでない?
ボールの跳ね方が予想と違うからそうなってしまうんでない?
836: 名無しさん 2018/11/14(水) 00:27:04.45 ID:LpIGa8Kc
これ、ファイナルズ史上歴史的な敗北じゃね?
867: 名無しさん 2018/11/14(水) 00:31:25.38 ID:0jufDCx6
>>836
過去にフェデラーがダブルベーグルやってる
過去にフェデラーがダブルベーグルやってる
871: 名無しさん 2018/11/14(水) 00:32:07.83 ID:LpIGa8Kc
>>867
そうか
下から二番目か、いいんだか悪いんだか…
そうか
下から二番目か、いいんだか悪いんだか…
849: 名無しさん 2018/11/14(水) 00:28:37.31 ID:UWlrN5vj
これでもこれでもかと、入らないフラットサービス打ってた
893: 名無しさん 2018/11/14(水) 00:36:27.80 ID:WTGYPP4D
ヘッドのボールは相手の力使わないで自分で打っていかないとあかんからな
非力な錦織はそりゃ苦手だろう
非力な錦織はそりゃ苦手だろう
933: 名無しさん 2018/11/14(水) 00:46:23.06 ID:mxiThOyX
ヤフコメで徹底的に叩かれてるな5チャン程ではないがの
{ATPファイナル史上最悪の試合}とね
{ATPファイナル史上最悪の試合}とね
934: 名無しさん 2018/11/14(水) 00:46:24.20 ID:fC6MKYtv
鍋島さんもどうフォローしたもんか困ってたな…
975: 名無しさん 2018/11/14(水) 01:02:54.26 ID:rRNgSxM9
>>966
HEADを使ったら、まず何やっても勝てないって事か
不毛だな
HEADを使ったら、まず何やっても勝てないって事か
不毛だな
976: 名無しさん 2018/11/14(水) 01:03:15.43 ID:bKR8/Gro
>>966
ジョコの順応性の高さがわかりやすい
ジョコの順応性の高さがわかりやすい
979: 名無しさん 2018/11/14(水) 01:03:44.51 ID:rH8DMyi+
>>966
すげぇなこれ
もしかしたらコート差より大きいかもな
すげぇなこれ
もしかしたらコート差より大きいかもな
988: 名無しさん 2018/11/14(水) 01:11:18.60 ID:arcO1LaO
>>966
これが答えか!
錦織潰しにはHEADのぺにゃぺにゃのボール採用すればどの大会でも錦織早期敗退させられるやん!これからもっと増えるかもな
これが答えか!
錦織潰しにはHEADのぺにゃぺにゃのボール採用すればどの大会でも錦織早期敗退させられるやん!これからもっと増えるかもな
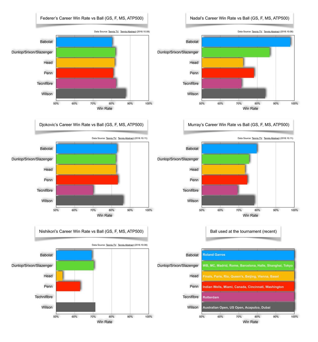
967: 名無しさん 2018/11/14(水) 01:00:34.18 ID:bKR8/Gro
錦織のサーブは駄目になっているときランク500位並みになるのが良くわかった
要するに今までは高い集中でなんとかキープにこぎつけていたが
これじゃゴール前で息切れするわけだな。だからタイトル無しもよくわかった
要するに今までは高い集中でなんとかキープにこぎつけていたが
これじゃゴール前で息切れするわけだな。だからタイトル無しもよくわかった
982: 名無しさん 2018/11/14(水) 01:04:59.90 ID:0jufDCx6
Nishikori: ‘It wasn’t like a beautiful match against Roger. I was happy but I don’t think I beat the best Roger two days ago. I didn’t feel the ball today, it just wasn’t my day.’
ボールのせいにするなw
ボールのせいにするなw
987: 名無しさん 2018/11/14(水) 01:09:38.36 ID:bKR8/Gro
ボールのせいとか言っている奴は今日使ったボールは魔球だと言っているのと同じ
そのためあらゆるサーフェス、あらゆる大会で慣らしておくんだろうが
要するに本人と陣営のミスが果てしなくデカい
そのためあらゆるサーフェス、あらゆる大会で慣らしておくんだろうが
要するに本人と陣営のミスが果てしなくデカい
996: 名無しさん 2018/11/14(水) 01:16:17.55 ID:aCxTvaMG
ボールだけでこんなスコアなるかよ素人じゃあるまいのに
856: 名無しさん 2018/11/14(水) 00:29:38.16 ID:UWlrN5vj
これって春先のフォアがだめなときそのまんまだよね
あの頃はサービスはもう少し良かったけど
あの頃はサービスはもう少し良かったけど
【ATP】テニス総合実況スレ2018 Part991【WTA】
引用元:http://mao.5ch.net/test/read.cgi/dome/1542122459/
引用元:http://mao.5ch.net/test/read.cgi/dome/1542122459/
【ATP】テニス総合実況スレ2018 Part992【WTA】
引用元:http://mao.5ch.net/test/read.cgi/dome/1542125631/
引用元:http://mao.5ch.net/test/read.cgi/dome/1542125631/
【Kei】錦織総合スレ540【Nishikori】
引用元:http://mao.5ch.net/test/read.cgi/tennis/1541972167/
引用元:http://mao.5ch.net/test/read.cgi/tennis/1541972167/






コメント
コメント削除・NGワードについてはこちらからどうぞ(・∀・)→コメント削除について管理人、スマッシュ速報にご意見がある方はメールフォームからお願いします。
コメント一覧
シーズン終盤で不調のときが多いし、ファイナルズのように最初からトップ8としか
やらないような大会があれば当然勝率は下がる
錦織潰しでHEADのボールとかw 被害妄想も大概にしろや
パリやウィーンも同じボールだし、パリはコートの早さも同じぐらい
そこでのカチャノフ戦を今年のベストと言ってる以上、ボール云々は関係ないよ
まあ本人が昔からHEADのボール嫌い!って言ってるから
状態悪いのとあいまって本人が一番ボールの気にしすぎなんじゃね?とは思うけどな
良い時は気にならないけど悪い時は必要以上に気になるんだろう
トッププロ同士の対戦なんだから少しの違いで大きな力の差になる事があるなんて考えなくてもわかる事だろ。
むしろ素人の方が大した差にならんわ。
まあ実際の要因が何なのかはわからないけど、少なくともアンダーソンには合ってる環境、錦織には合わない環境なのは間違いないんだろ。
錦織自身が嫌と言ってるんだから少しは関係あるとは思うがなぁ
それにパリと同じコートといってもファイナルズは練習コートと本番コートでだいぶ違うらしいし他の選手からも不満出まくりだし
やっぱ1番の要因は練習と本番コートでの差異がでかいからじゃね?
ボールは言い訳
これはもうサーフェスとの相性としか言いようがない気がするわ
他の選手もほとんどコートに合ってなさそうだしね
最後の方(といっても最後のサービスゲームだが)は対応できてきてたよ
サーブの調子が悪い+アンダーソンが修正する時間を与えてくれなかったのが原因
1試合目ならまだ分かるけど、これ2試合目だしセンターコートでの練習もしてるし
1試合目あまり良くなかったフェデラーは原因を把握して次戦で少しは修正してきてるしズべチリも良くなってる
ズベレフ昨夜は一戦目に比べておかしなエラー抑えられたようだし、まあ終盤は集中も切れてかエラー増えたが
フェデラーもティエム戦ではかなりあわせてきたし
錦織も今夜あたりはあわせてくれることを期待したい
ブラジル遠征のときもそうだったが、雑な環境に怒りを抑えきれない。
理不尽に弱いタイプ。
調子悪い時にHEADが多かったとかそう言う要因もあるし、同じ条件で比較してみないと
苦手なボールと言っても同じコートのしかも2試合目にほぼ全部調子下がったのは調整ミスの類だろうし
錦織だって不味い点数えきれないほど有るけどティエム戦で摺り合わせが上手いこと行かないならそろそろ関係の解消もあるかな
ジョコビッチとフェデラーの順応性の高さが凄いな。
自分らがプレーしててもボールの違いはわかるからギリギリの戦いをしてるプロからしたら想像以上に大きな違いなんだろうね。
ナダルは単に土が強いからというだけ
ボールとサーフェスの種類が大体一致してるから、正直あんまり意味のないデータというか
貴男曰く、コリはガットの張りを0.5単位で頼むらしいからなー
そこまでこだわる性格ならボールの微妙な違いも気になって仕方無いだろうね
なに自己紹介してんのや
弱いことをごまかす恥だけでなく相手にも失礼
叩きたいんだろうが残念ながらコリに限らず誰でも言うぞ
自分の日じゃなかったと自分のプレーができなかったはテンプレの一種みたいなもんだから
三大会続けて初対戦とか言い出したらもうなんかの病気やろ……
相手のコートに落ちるまでは弾道が
低めに出るが、地面についてから
回転がでてくる。
しかも今回のコートサーフェスが
ボールが滑らず止まる系のサーフェスなので
打ったボールが地面についた瞬間に
コンマで止まった上で加速して変化がとても極端になる。
しかもボールが繊細すぎて
ショットの際のサイドスピン成分拾ってるし、
それをコートが増幅させてる。
?「決勝進出は大きな成果だけどそのためにここに来たんじゃない」
サーシャの言い訳を見てきなさい!
運営側は反省しろ!
下村とジョコ、お前らのせいやぞ
次からはブルークレーで
ラインは小麦粉でよろしくゥ!
案外擁護の声が多かったな
数年前に比べて層がマイルドになったか?
常識的な人の意見はまともだなと思う
頭おかしい人の意見は見ていて腹が立つ
データがデタラメって言うのはどういう事??
実際にあそこまでのデータの差が出てるんだから、基本的にヘッドのボールが苦手ってのは正しいと思うが
カチャノフ戦が例外だったと見る方が自然だろ
芝高速ハードで張り切るビッグサーバーに土も適応しろとか言っても無理だろ
レギュレーションから変わってるようなもんだから無理なもんは無理なんだろ
キックサーブが跳ねるからな
イズナーはどのサーフェスでもサーブだけでやってからでしょ
ストロークはあってないようなもんだし
イズナーのストローク最近良くない?
前よりスーパーモードが続くようになった気がする
ノーマルだと相変わらずだけど
あくまでこれから潰しとしてHEADぺにゃぺにゃ増やしたら(しかも肯定的提案w)って仮定の話だぞw
だれもこれが潰しだとわめいていない
好き嫌いにかかわらずもう少し冷静に文章読もうぜ
実際にそのコートでやったこともねえくせに
>これからもっと増えるかもな
アタマダイジョウブか?
なんでジョコフェデナダルならとまだしも、連中に比べれば力の劣る錦織を早期敗退に追い込もうとする必要があるんだよw
どこまで意識過剰なんだか。。。
コメントする